快手深度价值报告-写在Q4暴跌时
<
财务报表显示,快手在2025年实现了总营收1427.76亿元人民币,同比增长12.5% 。这一增速虽然较2024年的11.8%有微弱的回升,但已经彻底告别了2021年至2023年期间的高速增长阶段 。然而,令人瞩目的是其盈利能力的显著释放。全年毛利润达到785.49亿元,毛利率从上年的54.6%提升至55.0% 。在非国际财务报告准则(Non-IFRS)下,快手全年经调整净利润高达206.47亿元,同比大幅增长16.5%,经调整净利润率达到14.5% 。这是快手连续第二年实现经调整净利润突破百亿元大关,且利润增速显著跑赢了营收增速,体现了公司在内容分发、带宽成本控制以及营销效率提升方面所取得的巨大运营杠杆效应 。
在具体的业务板块结构上,国内业务依然是快手绝对的利润引擎。2025年国内业务营收达到1377.02亿元,同比增长12.7%,国内业务运营利润达到210亿元级别 。同时,长期拖累整体盈利的海外业务在2025年取得了实质性减亏,第三季度海外运营亏损已收窄至6400万元人民币 ,第四季度更是进一步收窄至5900万元人民币 。电商业务作为核心驱动力,其全年GMV逼近1.6万亿元大关,泛货架电商表现尤为突出,在总GMV中的占比已经超过32% 。
触发资本市场恐慌抛售的深层动因
既然过去的财务业绩如此稳健,为何市场会在财报发布次日以脚投票,导致市值单日蒸发数百亿港元?答案在于资本市场定价的核心机制:股票价格永远是预期未来现金流的贴现,而非对历史成绩的表彰。通过深挖财报细节与管理层前瞻性指引,我们发现了引发资金恐慌性出逃的三大核心结构性隐忧。
第一项引发恐慌的催化剂,是快手在人工智能领域呈非线性爆发的CAPEX指引。在业绩说明会上,快手首席财务官金秉明确表示,集团预计在2026年将整体资本支出提升至约260亿元人民币,这一数字较2025年激增了约110亿元人民币 。管理层解释称,这笔巨额的增量资本开支将主要用于为“可灵”(Kling)大模型及其他底层基础模型提供充沛的算力支持,同时用于大规模的离线数据存储服务器采购以及内蒙古乌兰察布等数据计算中心的实体建设 。在宏观经济复苏趋缓、互联网流量红利全面见顶的大背景下,快手突然宣布从“轻资产运营”向“重资产基础设施投资”大举转向,直接触动了投资机构对于自由现金流可能被巨额折旧与资本开支持续吞噬的敏感神经 。
第二项隐忧来自于快手核心商业引擎——内循环广告与电商GMV的断崖式降速预期。在财报发布后的小范围买方路演中,管理层释放了极度谨慎的2026年业务指引。据披露,快手预计2026年全年的广告收入增速将滑落至6%至7%的低个位数区间,其中第一季度的增速仅为8%至9%,这与2025年全年在线营销服务12.5%的强劲增长形成了鲜明对比 。更为致命的是,快手宣布自2026年起将不再详细披露具体的电商GMV数据 。市场分析师通过倒推测算,剔除掉AI业务的贡献后,快手2026年的电商GMV增速可能已经骤降至5%至10%的区间,这一悲观的内生增长预期远低于此前买方普遍锚定的13%增长基准 。
第三项导致估值崩塌的因素,是针对电商生态内中小商家的税务合规风暴对平台变现率(Take-rate)的直接挤压。自2024年下半年至2025年,中国电商行业的税务规范化执法力度空前趋严。这一政策环境变化对快手生态造成了不对称的冲击。由于快手电商长期深耕下沉市场,其GMV结构中存在大量非知名品牌的中小商家,以及部分在税务处理上存在历史灰色地带的头部草根主播 。合规成本的急剧上升直接削弱了这些商家的盈利能力,进而导致他们在快手平台上的内循环广告(即商家为了获取流量而向平台支付的营销费用)投放预算大幅缩减 。为了稳住商盘、防止商家流失,快手被迫采取了被动的防御策略,向商家提供大规模的流量补贴和电商佣金返还 。原本在2025年设定在1.5%至3.5%区间的商家佣金率,在激烈的补贴战中不断遭到稀释 。这种为了保生态而牺牲货币化率的做法,意味着快手正在面临“增收不增利”的结构性死结。
第二部分:快手商业护城河的深度解构(基于Bruce Greenwald竞争优势理论)
要准确评估快手的内在价值,我们必须首先确定其是否拥有能够抵御竞争对手侵蚀、持续产生超额收益的商业护城河。哥伦比亚大学Bruce Greenwald教授在其经典的价值投资理论中提出,真正的竞争优势只有三种形式:供给侧优势(主要体现为不可复制的绝对成本优势)、需求侧优势(主要体现为客户群体的高昂转换成本与深度锁定),以及区域性规模经济(Local Economies of Scale)。我们将运用这一严苛的框架,对快手当前的商业模式进行逐层剥离与深度诊断。
需求侧优势:双边网络效应与“老铁”社区的转换成本
在竞争激烈且高度同质化的中国短视频与直播赛道,纯粹的内容消费者面临的平台转换成本无限趋近于零。用户在智能手机上从快手切换至抖音,或者打开微信视频号,仅仅需要零点几秒的滑动操作。因此,如果仅仅提供泛娱乐的视频内容,平台根本无法建立起任何需求侧的护城河。然而,快手的需求侧壁垒并未建立在简单的内容消费上,而是深植于其历经十余年沉淀的“老铁经济”与高粘性的双向互动社区之中。
快手的核心竞争优势在于其培育的极度深度的双边网络效应。根据2025年第三季度的数据,快手应用程序上的平均日活跃用户(DAU)达到了创纪录的4.162亿,月活跃用户(MAU)达到7.311亿 。在如此庞大的基数下,单用户日均使用时长依然高达134.1分钟 。更为核心的指标是其基于社区信任建立的社交连接密度。快手官方数据显示,2025年第三季度,平台内互相关注用户的日均私信渗透率同比提升了超过3个百分点 。在2025年春节期间的专项活动中,日均新增互关对数同比激增超过40%,互关用户间的日均私信数量更是同比暴涨超过100% 。
这种基于“半熟人社会”属性和对草根主播强烈身份认同感的社区氛围,使得内容创作者与消费者之间的纽带超越了单纯的算法推荐,形成了极高的情感转换成本。一位在快手依靠长期互动积累了几十万忠实“老铁”粉丝的下沉市场带货主播,如果试图迁移到算法主导、流量分配极度中心化的抖音平台,其原有的私域流量和变现能力将瞬间清零。这种创作者对平台的深度绑定,进而锁定了庞大的下沉市场消费者,构成了Greenwald理论中最为经典的“客户锁定”(Customer Captivity)效应。
此外,快手的用户基本盘在地理分布上呈现出显著的差异化特征。超过55%的快手月活跃用户集中在中国的三线及以下城市和广大农村地区 。这些用户群体的年龄跨度广泛(集中在25岁至50岁),且男性用户占比微弱领先(约52%) 。相对于抖音在一二线城市构建的高大上的都市化内容生态,快手以其真实、粗糙甚至略带草根气息的内容,精准填补了下沉市场人群在精神娱乐与信任电商领域的巨大空白 。这种精准的目标人群占领,使得快手在面对电商巨头下沉战略时,依然保持着极高的壁垒。
区域性规模经济:算力折旧摊薄与算法推荐壁垒
在Greenwald的护城河框架中,规模经济(Economies of Scale)只有在企业能够在特定的目标市场(特定的地理区域或高度垂直的细分领域)内占据绝对主导份额时,才能真正转化为不可逾越的竞争优势。
中国短视频市场目前呈现出典型的双寡头垄断格局。快手作为行业第二大独立短视频平台,占据了国内短视频用户总使用时长约25%的庞大份额 。这种规模体量为快手带来了显著的成本摊薄效应。以服务器托管与带宽成本为例,2025年上半年,快手的带宽及服务器托管成本占总营收的比例约为3.8%至4.4%,折旧及摊销占营收的比例维持在4.0%至5.1%的稳定区间 。随着营收规模在2025年达到近1428亿元 ,巨额的固定资产投资(如内蒙古乌兰察布的数据中心建设)被庞大的收入基数迅速稀释,从而释放出强大的运营杠杆,这也是快手经调整净利润能够连续两年突破百亿的核心逻辑 。
除此之外,快手所拥有的另一重规模经济体现在其底层推荐算法和数据语料库的深厚积累上。快手平台每天承载着超过4亿活跃用户的数以百亿计的点赞、评论、转发与停留时长数据。这种海量的多模态数据输入,构成了其推荐系统(如基于生成式强化学习的竞价模型G4RL和全链路推荐策略OneRec)持续迭代的唯一燃料 。任何试图挑战快手的新兴创业公司,即使能够获得充足的风险投资购买顶级GPU算力,也绝对无法在短期内凭空捏造出如此庞大且真实的下沉市场用户交互数据集。数据喂养的规模经济,构成了快手抵御新进入者的另一道坚固城墙。
护城河的侵蚀机制:微信视频号与抖音的联合降维打击
然而,价值投资者必须保持绝对的客观与清醒。尽管快手拥有上述需求侧粘性和规模经济护城河,但我们通过深度对比分析发现,这些竞争优势正在被更为庞大和全能的生态级寡头——腾讯的微信视频号以及抖音从多个维度持续侵蚀。

首先,从用户商业变现价值(ARPU)的维度审视,快手面临着难以逾越的结构性劣势。根据长期的行业调研及交易数据追踪,微信视频号依托于微信熟人社交网络和高度普及的微信支付(WeChat Pay拥有超过9.35亿用户 ),其电商生态的平均客单价高达200元人民币左右,且用户的复购率维持在60%的高位水平,仅略逊于快手长期引以为傲的75%复购率 。相比之下,抖音的平均客单价约为120元人民币,而快手的客单价由于其高度下沉的用户基本盘,长期徘徊在80元至90元人民币的低位区间 。这种用户购买力的先天落差,意味着快手在争夺高净值品牌广告主和高端商品供应链时,始终面临一层坚硬的玻璃天花板。这也是为何快手的内循环广告收入在达到一定规模后,极易受到宏观消费降级冲击的根本原因。
其次,微信生态的全面觉醒对快手构成了真正的降维打击。根据全球权威数据统计,2025年全球社交媒体用户总数已达到56.6亿,而微信的全球月活跃用户预计在2025年达到14.81亿,其中仅在中国市场的用户就超过了8.1亿 。依托于微信这一国民级的基础设施,视频号的用户规模实现了惊人的裂变。预测数据显示,2025年微信小程序和视频号相关的日活跃用户(DAU)已逼近7.64亿 。微信用户每天发送超过450亿条信息和进行4.1亿次音视频通话,这种极度高频的社交唤醒能力,使得视频号能够以极低的获客成本(CAC)在不知不觉中窃取用户的碎片化时间 。由于每个网民每天的时间总量是24小时的绝对零和博弈,视频号时长的增长必然以蚕食快手和抖音的时长为代价。数据证明了这一点:快手在2025年第三季度创下4.162亿DAU的峰值后 ,在第四季度轻微回落至4.077亿 ,这表明在微信生态的虹吸效应下,快手的流量池增长已经触及了物理极限。
AI大模型(可灵)能否为快手构筑新的技术护城河?
面对流量见顶和变现降速的双重困境,快手管理层将破局的希望寄托于人工智能技术的代际跃迁。2025年,快手倾注海量资源研发并迭代了视频生成大模型“可灵”。客观而言,可灵AI在视频生成的物理世界理解、长视频连贯性以及生成速度等技术指标上,确实处于全球大模型梯队的前沿阵地。
财报数据证实了AI初步的商业化能力:2025年第四季度,可灵大模型直接创造了约3.4亿元人民币的收入,虽然仅占集团单季度近400亿营收的不到1%,但其年化运行收入(ARR)已经成功突破了3亿美元大关,展现出了一定的B端工具订阅及API调用变现潜力 。更为重要的是,AI技术开始深度赋能快手的核心商业循环。基于端到端生成式推荐大模型OneRec以及生成式强化学习竞价模型G4RL,快手在2025年第三季度实现了线上营销服务收入约4%至5%的内生性结构提升,并带动了泛货架电商信息流场景GMV的高单位数增长 。
然而,从Bruce Greenwald极其苛刻的护城河鉴定标准来看,技术创新本身如果不具备绝对的排他性和长期的独占性(Proprietary Technology),往往无法转化为企业的长期竞争优势。在算力摩尔定律和大模型开源趋势的裹挟下,视频生成技术最终极有可能沦为所有互联网平台的标准化基础设施(Commoditization)。因为字节跳动(如Seedance 2.0大模型)、腾讯(混元大模型)以及海外的谷歌(Veo 3)、OpenAI等巨头,同样在以每年数百亿乃至千亿元级别的资本开支疯狂投入大模型赛道 。
快手目前在AI领域的进展,更多是为了确保其在下一代内容分发与生成体系中不被淘汰出局的“防御性支出”,而非能够像垄断性专利那样带来长期超额利润的坚固护城河。AI技术的引入无疑提高了行业整体的运营效率,但由于市场的高度竞争,这种效率提升所节省的成本,最终大部分将通过流量价格的降低补贴给广告主,或者通过佣金的减免让利给平台商家与消费者,而极难转化为快手股东口袋里实打实的自由现金流。
第三部分:基于 Bruce Greenwald 盈利能力价值(EPV)框架的估值重构
既然快手目前的护城河正面临寡头侵蚀的压力,且未来的增长预期被大幅下调,那么我们应该如何对其进行合理的定价?传统的P/E或P/S倍数在面临增长拐点时往往失效,而基于激进假设的现金流折现(DCF)模型又容易沦为数字游戏。此时,Bruce Greenwald的“盈利能力价值”(Earnings Power Value, EPV)模型成为了最锐利的解剖刀。
EPV估值体系是巴菲特与本杰明·格雷厄姆深度价值投资理念在现代金融学术界的最完美量化呈现 。EPV的底层哲学极其悲观却又极度安全:完全剥离并无视企业未来一切可能的增长前景,仅仅基于企业当前已经证明的、在无增长状态下能够永远维持的“真实可持续现金盈利能力”,以适当的资本成本对其进行无期限资本化贴现。 这种方法能够为投资者提供一条坚如磐石的绝对价值底线(安全边际)。
EPV的基础公式非常简洁:

步骤一:抽丝剥茧,重置快手的真实可持续盈利(Adjusted Earnings)
财务报表上的会计净利润(Net Income)往往是一层被高度粉饰的面纱,受到非经常性损益、会计政策选择(如研发费用的资本化与费用化处理)以及旨在获取未来市场份额的“增长性资本开支”的严重扭曲。我们需要对快手2025年的财报进行外科手术式的清洗,还原其“真实经常性现金盈利”。
确定初始盈利基数: 我们选取快手2025年全年的经调整净利润 206.47 亿元人民币 作为重置的起点 。这一指标已经由管理层剔除了股份薪酬开支(SBC)以及投资公允价值变动等非现金或非经常性项目干扰,相比于法定准则净利润,更能反映其基础业务的产出能力 。
剖析销售与营销费用(S&M Expenses),剥离“增长性支出”: 在互联网流量获取模型中,销售及营销费用并非纯粹的当期损益消耗。快手2025年全年的销售及营销开支高达 422.29 亿元人民币,占总营收的比例接近30% 。这其中包含了两部分截然不同的现金流出:一部分是用于维系现有4.1亿日活用户(如日常的活动运营、积分奖励、常规品牌曝光)的“维持性营销费用”;另一部分则是用于在各大渠道疯狂买量、通过地推和高额补贴获取全新下沉市场用户,以及重金抢夺竞对平台商家的“增长性营销开支”(Growth Marketing Expenditure) 。 根据EPV的假设,在评估企业当前的内在价值时,我们假设企业放弃一切增长,不再谋求扩大市场份额。因此,那部分用于获取新用户的开支不应被视为当期成本,而应当被加回到调整后盈利中。 基于快手2025年DAU依然实现了2.7%的同比增长 ,且海外市场及本地生活业务仍处于大力拓展期 ,我们采取极其保守的假设,认定这422.29亿元的营销开支中,至少有 15% 至 20% 属于增长性支出。这意味着大约 63亿至84亿元人民币 的营销费用应当被还原为企业的真实税前盈利。
校准研发费用(R&D Expenses): 快手一直坚持极为激进的研发费用费用化政策。2025年,为了支持大模型的研发与推荐算法的升级,其研发开支预计达到近160亿元人民币(注:2025年上半年研发开支超30亿元且呈上升趋势,结合260亿资本开支指引推算整体技术投入巨大)。虽然根据最新的美国税改法案(OBBBA),国内研发支出允许选择费用化或五年期摊销 ,且快手遵循IFRS准则将绝大部分开发阶段不满足严苛资本化条件的支出直接计入当期损益,但这客观上严重压低了当期报表利润。在无增长假设下,维持现有平台代码库运转所需的维护性研发费用远低于此。保守起见,我们将约 20亿至30亿元人民币 的增长性大模型研发投入加回利润表。
折旧摊销(D&A)与维持性资本支出(Maintenance CAPEX)的对冲: Greenwald教授指出,如果一家企业的当期折旧及摊销费用,大于其维持现有生产力所需的资本支出,那么多出的差额应当作为自由现金流加回。 2025年,快手报表上的固定资产高达228.69亿元人民币,使用权资产为85.45亿元,无形资产为9.86亿元 。全年涉及这些庞大资产基数的折旧与摊销费用规模巨大(仅2025年上半年折旧摊销总额即达到数十亿元级别) 。 尽管快手给出了2026年高达260亿元人民币的整体资本支出指引 ,但管理层明确指出其中包含110亿元用于AI算力的纯增量投资 。剔除这部分旨在博取未来AI爆发的“增长型资本开支”,快手用于维持现有数据存储、服务器常规更替的“维持性资本开支”(Maintenance CAPEX)预计在 120亿至150亿元人民币 区间。 由于历史会计折旧通常高于真实的经济维护支出,我们估算在此环节,快手存在约 10亿至20亿元人民币 的超额折旧可以转化为股东的自由现金流。
调整后盈利最终测算结论:
将上述被费用化隐瞒的增长性支出(扣除约15%的适用企业所得税率影响后)加回到初始的206.47亿元经调净利中,我们严谨推算出,快手在完全切断一切增长引擎、仅靠现有平台惯性运转的状态下,其真实的、可持续的年化现金盈利能力(Earnings Power)保守估计位于 280亿元至320亿元人民币 之间。为了后续估值的绝对安全边界,我们取极度保守的下限值:280亿元人民币。
步骤二:确立加权平均资本成本(WACC)的惩罚性折现率
资本成本是连接企业盈余与内在价值的核心纽带。分析快手2025年末的资产负债表,其财务结构堪称极致的稳健: 截至2025年12月31日,快手账面上趴着海量的流动性资产,包括775.49亿元的现金及现金等价物,86.30亿元的短期定期存款,以及高达241.00亿元的按公允价值计量且其变动计入当期损益的金融资产(主要为理财产品),广义的可用资金储备总额突破了 1066亿元人民币 。 与此同时,其有息负债规模微乎其微。账面上的借款总计仅约 130.66亿元人民币(包含110.98亿非流动负债与19.68亿流动负债),资产负债率与净负债率均处于行业极低水平 。
既然快手的资本结构几乎100%由股权资本驱动,且背靠超千亿的净现金,其真实的债务违约风险为零。然而,考虑到中国互联网行业面临的宏观经济周期波动、短视频赛道异常残酷的存量博弈,以及地缘政治因素对中概股的整体估值压制,我们决不能采用激进的低折现率。为了体现对未来不确定性的充分尊重,我们赋予快手极高的权益资本成本假设,采用 11% 的加权平均资本成本(WACC)作为严苛的折现率。
步骤三:计算 EPV 企业内含价值与安全边际
将核心数据代入EPV公式:

接下来,必须将不参与核心业务运营的过剩现金(Excess Cash)价值叠加进企业总价值中。
广义资金储备:约 1066 亿元人民币 。
扣除必要营运资金:由于快手对上游供应商存在大量应付账款(约272亿元)和预收客户款项(约48.5亿元) ,其自身的营运资金需求极小,甚至呈现负营运资本的优良特征。但为绝对保守起见,我们预留 300亿元 现金作为支持平台日常流转的不可动用资金。
扣除有息债务:约 131 亿元人民币 。
净过剩现金(Net Excess Cash):1066亿 – 300亿 – 131亿 = 635 亿元人民币。

根据市场公开数据,截至2026年3月快手的总发行在外流通股本约为 43.52 亿股 。 EPV 隐含的每股内在价值 = 3180.45 亿元 / 43.52 亿股 ≈ 73.08 元人民币/股 按照当期汇率(1 港元 ≈ 0.9 港元/人民币汇兑比率折算),折合约为 81 港元/股。
基于 EPV 框架的投资结论: 2026年3月26日,快手的股价在恐慌性抛售中砸出了 45.66 港元的深坑,收盘于 46.36 港元 。这一价格对应的企业总市值仅为约 2000 亿港元(折合约 1800 亿元人民币)。 将当前市值与我们推算出的 3180 亿元人民币内在价值进行对比,市场价格仅反映了其EPV价值的 56%。从Bruce Greenwald极度保守的零增长假设出发,目前的股价不仅彻底清零了快手未来所有可能的增长潜力(包括AI大模型的商业化前景、电商客单价的潜在提升),甚至对快手维系现有庞大盈利生态的能力打上了超过 40% 的深重折扣。 结论显而易见:在排除管理层恶意转移资产或进行毁灭性挥霍的极端黑天鹅前提下,快手当前的股价已经砸出了深不见底的绝对安全边际。
第四部分:基于 Stephen Penman 剩余收益模型(RIM)的深度透视与市场恐慌溯源
既然Bruce Greenwald的EPV模型雄辩地证明了快手被严重低估,那么市场到底在畏惧什么?为何包括野村证券在内的国际大行会连夜下调其目标价至57港元并降级为“中性” ? 要解答这一悖论,我们必须引入Stephen Penman教授的“剩余收益模型”(Residual Earnings Model, RIM)。如果说EPV是评估企业静态底线的盾牌,那么RIM则是透视企业动态资本配置效率的显微镜。
Penman在其名著《财务报表分析与证券估值》中深刻指出,传统的DCF模型过度依赖于对遥远未来的自由现金流预测,极其容易失真 。而RIM模型则将估值的锚定点拉回至企业当前的资产负债表(账面价值),并对未来的盈利施加了“资本成本”的硬性约束。
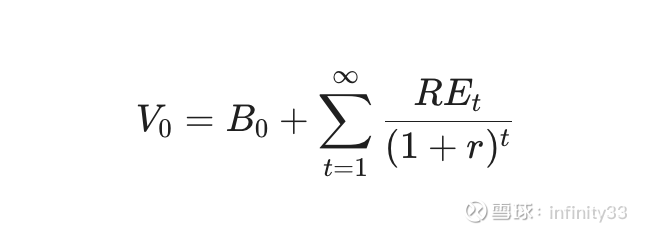
RIM的基础方程为:

其中:
V0表示企业的内含价值。
B0 表示当前的账面所有者权益(Book Value of Equity)。
RE_t 表示预期剩余收益(Residual Earnings)。其核心公式为:RE_t = Net Income_t – (r * B_(t-1))。即企业创造的净利润必须扣除维持这些资产所要求的必要资本回报后,剩余的部分才是真正的价值创造。
r 为股权资本成本。
Penman模型传达了一个商业常识:增长本身并不能创造价值。只有当企业新增投资项目的回报率(ROE)超过其资本成本(r)时,剩余收益为正,增长才会增加股东价值;反之,如果在低效的项目上盲目进行资本扩张,即使营收和利润的绝对数字在增长,其剩余收益(RE)也会沦为负值,这种毫无纪律的资本扩张本质上是在摧毁股东财富。
会计质量审查与 B0 的夯实
运用RIM模型的第一步是审视资产负债表的清白度。根据2025年年报,快手归属于母公司股东的权益合计为 795.58亿元人民币 。 在彭曼的框架中,如果企业存在大量的商誉泡沫或被滥用资本化的研发费用,账面价值 B0 就会被严重高估,从而掩盖低效的资产回报率。令人欣慰的是,快手的资产负债表非常“干净”。其无形资产极低,仅为9.86亿元人民币 。此外,正如前文所述,快手将绝大部分超过百亿元的研发投入直接费用化,而非像部分激进的科技公司那样将其资本化摊销 。这意味着其 795.58 亿元的账面净资产是不含水分的硬资产,快手的 B0 甚至存在被隐性低估的可能。
剩余收益(RE)的历史高光时刻:2024至2025年
快手在2025年之所以能够交出亮眼的答卷,本质上是因为它在这段时期内创造了极其丰厚的剩余收益。 以2025年为例,期初(2024年底)快手的账面权益为 620.04 亿元人民币 。假设股权资本成本 r = 10%。 2025年要求的基础资本回报 = 620.04 亿 $的10% = 62 亿元。 而快手在2025年实际创造的经调整净利润高达 206.47 亿元 。 2025年创造的剩余收益 RE{2025} = 206.47 亿 – 62 亿 = +144.47 亿元人民币。 高达33%的净资产收益率(ROE)远超资金成本,巨大的正向剩余收益是支撑快手在2025年大部分时间里股价坚挺的核心动力 。
2026年危机前瞻:庞大AI资本支出带来的“价值毁灭”倒计时
正是沿着Penman的推演逻辑,当快手CFO金秉在财报会上抛出“2026年整体资本支出预计达到260亿元人民币,同比暴增110亿元”的指引时 ,华尔街和香港的机构投资者瞬间嗅到了资本毁灭的血腥味。
这一决策在RIM模型中将触发灾难性的链式反应:
分母端的急剧膨胀(Bt)导致资金成本重压:
260亿元的巨额CAPEX将以前所未有的速度沉淀到快手的资产负债表中,转化为一排排冰冷且高耗能的GPU服务器和内蒙古乌兰察布数据中心的混凝土建筑。假设快手在2026年将2025年的部分净利润留存,加上新增资本投入,其2026年的平均账面权益 B{t-1}将迅速膨胀至约 1000亿元人民币。
此时,维持这1000亿资产不被毁灭所需的硬性门槛(10%资本成本)随之水涨船高,达到了 100亿元 利润。
分子端的残酷绞杀(Net Income 承压): 在资产端极速变重的同时,快手的利润分子端却遭遇了双重暴击。 首先是折旧费用的反噬。互联网算力硬件和数据中心的基础设施通常遵循极快的折旧周期(3至5年)。260亿的新增资本投入意味着在未来几年,快手每年将新增数十亿元的折旧与摊销费用,这些会计计提将像吸血鬼一样无情地吞噬当期净利润。 其次是核心营收引擎的熄火。受到前述下沉市场消费力疲软以及中小电商商家税务合规整顿的双重冲击,快手对2026年核心的在线营销(广告)收入给出了极度悲观的6%至7%的全年增长指引 。由于快手被迫向商家提供海量流量补贴以维持生态稳定,电商佣金率面临实质性下滑 。这直接切断了快手原本赖以输血高毛利收入来源。
大模型AI极低的短期投入产出比(ROI): 最为致命的是,耗资百亿打造的AI算力集群,在商业化变现上显得杯水车薪。2025年第四季度,名满天下的“可灵”大模型仅贡献了区区 3.4 亿元人民币的直接收入 。即使乐观估计其2026年年化收入能够翻倍至 15 亿元至 20 亿元,扣除庞大的研发人员薪酬和电费成本后,其底层净利润微乎其微甚至为负。
剩余收益压力测试推演:
我们构建一个针对2026年的悲观(但极有可能发生)情景假设。由于广告降速、佣金率承压加上巨额的新增折旧计提,快手2026年的经调整净利润未能保持增长,反而小幅倒退至 180 亿元人民币。
代入Penman模型:

对比2025年高达144亿元的剩余收益,快手的核心价值创造能力(RE)在2026年出现了接近腰斩的实质性萎缩。
按照Penman的严苛标准,快手管理层正在将股东账面上数百亿的宝贵现金,抽离出原本能够产生30%超额ROE的高效内容分发生态,强行配置到一个当前回报率极低、且面临全球科技巨头无底线内卷的重资产AI军备竞赛之中。当一家企业新投入资本的预期回报率(ROE_AI)远远低于其WACC时,这在数学定义上就是最标准的“价值毁灭”。这就是资本市场在财报后夺路而逃的根本逻辑。
第五部分:核心结论与投资战略展望
回到本报告设立初期的核心命题:面对快手财报后的股价雪崩,市场的担忧究竟对不对?基于严谨的价值投资双框架穿透,我们得出以下高度综合的研判:
1. 市场的担忧是绝对精准且高度理性的
基于Stephen Penman的剩余收益模型,资本市场的暴跌本质上是对快手管理层“资本配置效率恶化”的预防性惩罚。
快手正处于一个极其凶险的战略转型期:试图从一家依靠极高经营杠杆驱动现金流的轻资产互联网平台,强行突围转型为兼具重资产算力租赁和底层模型研发的AI基础设施供应商。这种转型伴随着巨大的资本消耗和漫长的投资回报期。在主营业务(下沉市场电商与内循环广告)天花板显现、增速换挡的节骨眼上,叠加如此激进的CAPEX投入,必然导致企业整体资产周转率断崖式下滑,ROE被严重稀释。市场对于快手陷入“重资产陷阱”、导致未来数年自由现金流干涸的恐惧,绝非杞人忧天。
2. 但极端的恐慌也砸出了非理性的安全边际
恐慌往往会矫枉过正。如果切换到Bruce Greenwald的盈利能力价值(EPV)视角,当前市场对于快手的悲观定价已经脱离了基本面的物理现实,呈现出明显的非理性错杀。
无论AI的投资前景多么扑朔迷离,快手拥有4.1亿极高粘性日活用户的“老铁社区”并没有崩溃,其高达1.6万亿的电商基本盘依然在稳健运转,并且每年依然能够产生超过200亿元人民币的真实自由现金流。高达1066亿元的净现金储备构成了坚不可摧的资产负债表底线。当前仅45港元左右的股价,不仅将未来的增长期权全部清零,更隐性地包含了一个巨大的“治理结构折价”——即市场潜意识里认为管理层最终会把账上的一千多亿现金在AI的无底洞里全部挥霍一空。只要这种极端的末日景象不发生,当前的股价就蕴含着超过40%的深厚安全边际。
3. AI(可灵)的隐蔽期权价值不容抹杀
在Penman严苛的会计模型中,难以量化且未产生正向利润的未来技术投入被视为毁灭价值的负债。但在真实的商业生态进化中,可灵并非一无是处。除了直接的API接口及SaaS软件订阅收入 ,AI大模型正在通过更底层的逻辑重塑快手的变现效率。生成式竞价模型(G4RL)和端到端推荐架构(OneSearch / OneRec)已经在2025年四季度证明了其带动内循环广告和电商转化率提升的实力 。如果260亿的硬件投资能够在未来两到三年内,推动整个快手超万亿GMV盘子的转化率实现哪怕0.5个百分点的结构性跃升,其所释放的隐性商业价值将足以覆盖当前的算力折旧。这部分潜力,应当被视作当前极度低迷股价附带的免费看涨期权(Free Call Option)。
我的看法:
对于秉持深度价值视角的专业投资者而言,此刻的快手呈现出典型“丑陋但廉价”(Ugly but Cheap)的投资标的特征。短期内,其股价将被笼罩在庞大资本支出引发的盈利稀释阴影中,难以迅速实现估值修复。
未来一至两年内,破局并实现价值回归的核心催化剂将不再是DAU的微弱增长或电商GMV的口径游戏,而是紧紧依附于管理层的资本纪律: 第一,大模型商业化(包括B端赋能与内部降本增效)能否在未来4至6个季度内迅速越过盈亏平衡点,向资本市场自证其巨额CAPEX投入能够产生高于10% WACC的边际投资回报率(ROIC)。 第二,在手握千亿现金的背景下,管理层是否能够展现出捍卫股东价值的诚意,通过持续且更大规模的股票回购及派息政策(鉴于其在2025年已累计回购超过2579万股并派发了特别股息,昨天又一次性回购了3亿),将留存利润以最刚性、最直接的方式返还给投资者,从而以实际行动粉碎市场对于资本错配和潜在价值毁灭的恐慌
$快手-W(01024)$ $腾讯控股(00700)$
@今日话题 @雪球创作者中心
本话题在雪球有99条讨论,点击查看。
雪球是一个投资者的社交网络,聪明的投资者都在这里。
点击下载雪球手机客户端 http://xueqiu.com/xz]]>
#快手深度价值报告写在Q4暴跌时